surat tunjuk minat
Misalnya salam pembuka Anda yang biasa Siapa-siapa yang terhormat di awal surat haruslah diperiksa dengan teliti. Biasanya kursus berlangsung beberapa hari dan bukannya sehari.
18 november 2915 kepada.
. Yuk Lihat 8 Contoh Surat Undangan Launching Produk Baru Paling Baru. Contextual translation of surat tunjuk minat into English. Human translations with examples.
Hanya berupa pernyataan minat yang tidak mengandung resiko bagi mereka jika mereka tidak lagi berminat melanjutkan minatnya walaupun telah. Cek surat minat loidocx Ada 4 halaman surat minat loi ukuran HVS 28MB. Tayammum khusus yang diperintahkan allah swt 4.
Yang bertanda tangan di bawah ini. Adapun format umum dalam surat minat proyek adalah sebagai berikut. Surat Tunjuk Sebab Tidak Hadir Mesyuarat.
Koleksi Contoh Surat Tunjuk Sebab Pelbagai Alasan Berikut adalah contoh format surat tunjuk sebab yang mudah dan terbaik dan boleh dijadikan panduan kepada mereka yang perlu menyediakan surat ini untuk menjawab surat majikan -. Contoh-contoh aktiviti pembelajaran berasaskan Pembelajaran abad ke- 4. Identitas pihak berwenang perusahaan Nama jabatan dll Rincian proyek yang akan diambil.
SURAT MINAT Nama Tempat Adalah dengan hormatnya perkara diatas di rujuk. Sebagai contoh kita lihat produk ini. Pernyataan minat merupakan dokumen bisnis yang resmi maka Anda harus selalu menggunakan gaya bahasa resmi sejak bagian awal.
Surat tunjuk minat buying amaroc stone. Agustus 28 2021. Ajax Tunjuk Alfred Schreuder sebagai Pengganti Erik Ten Hag.
Letter of interest buying amaroc stone. Tanda tangan dan nama jelas pihak pembuat surat. Jika kontraktor atau konsultan tidak melengkapi dokumen-dokumen yang disyaratkan dalam dokumen tender maka kotrraktor atau konsultan dinyatakan gugur.
Example of a letter of appreciation. Contoh loi atau surat minat membeli properti 161631 memahami hak tanggungan sertifikat hak tanggungan roya dan prosesnya 157814 panduan. Berikut ialah surat tunjuk sebab tidak hadir kursus.
Contoh surat tunjuk minat usaha sama. Mungkin sebab ebook utama pun dah hampir 200 muka surat jadi penulis pecahkan kepada tiga ebook kecil untuk lebih mudah. Penerbitan Surat Minat atau lebih dikenal dengan Letter of Intent LoI bertujuan untuk menunjukkan komitmen seseorang atau perusahaan tertarik atau berminat terhadap sesuatu hal dalam bisnis baik untuk membeli untuk ikut berpartisipasi dalam suatu bisnis atau keinginan apapun dari suatu entitas bisnis terhadap relasi bisnisnya.
Inilah 5 Contoh Surat Tunjuk Sebab Tidak Hadir Ke Sekolah Paling Baru. Direktur Bertindak untuk. Surat minat jual tanah dan rumah.
Contoh surat minat letter head addres buyer tarikh. Department show interest show cause letter. Detail Contoh Surat Minat Vylyv61g2zlm Contoh Kerja Kursus PBS STPM 2016 Pengajian Am 4 Tajuk.
Kewajiban hak dan perjanjian opsional Tanggal dan tempat pembuatan surat. Jadi LoI tidak hanya dipergunakan. C menjelaskan masalah dalam tindakan disiplin.
UNTUK MENGIKUTI PENGADAAN BARANG JASA. Mulailah dengan salam pembuka yang resmi. Cara menyucikan najis.
Pastikan alasan yang diberikan itu masuk akal untuk menyatakan kenapa tidak dapat hadir ke kursus. 15 contoh surat undangan untuk berbagai keperluan doc. Perbedaan Surat Izin Tempat Usaha SITU dan Surat Izin Gangguan HO.
Contoh Penerbitan Surat Minat atau lebih dikenal dengan Letter of Intent LoI bertujuan untuk menunjukkan komitmen seseorang atau perusahaan tertarik atau berminat terhadap sesuatu hal dalam bisnes baik untuk membeli untuk ikut bekerjasama dalam suatu bisnes atau keinginan minat yang lain. Ia memprediksi potensi ekonomi digital indonesia bisa tumbuh delapan kali lebih cepat jika dibandingkan pertumbuhan produk domestik bruto pdb. A semua ahli organisasi dan menggunakan sumber organisasi.
NoKPberminat untuk membuat lawatan ke tanah tersebut serta melihat segala dokumen bagi membolehkan pihak kami membuat penilaian terhadap kesesuaian tanah tersebutPihak kami bercadang untuk melawat seperti berikut Tarikh. Surat Pernyataan Minat adalah salah satu dokumen admintrasi yang harus di lengkapi maka dari itu saya akan memberi contoh cara membuat surat pernyataan minat pengandaan yang benar. 0632 322104 SURAT PERNYATAAN MINAT UNTUK MENGIKUTI PENUNJUKAN LANGSUNG PEMBANGUNAN JALAN JURUSAN DESA GOMPAR SIAMBO KECAMATAN SIGUMPAR Kami yang bertanda tangan di bawah ini.
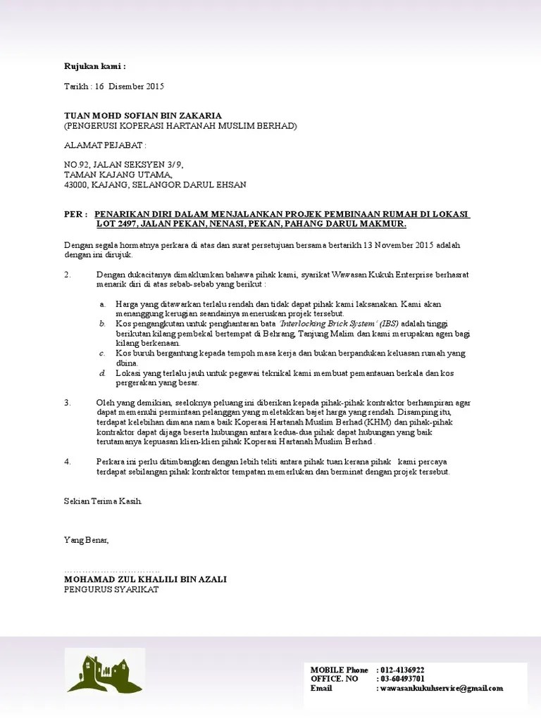
Ada cowok bule dari london yang lagi dekat sama aku kita chat lewat facebook dan sekarang lewat whatsapp. Perbadanan pemaju lot persatuan anak kalumpang persaka per tajuk surat tunjuk minat untuk penyewaan lot kedai dua. Wawasan kukuh enterprise002397301-d tarikh.
Perbadanan pemaju lot persatuan anak kalumpang persaka per tajuk surat tunjuk minat untuk penyewaan lot kedai dua tingkat bertempat kampung gumut tambahan 44100 kalumpang hulu selangor selangor darul ehsan 1. Jul 17 2021 lelaki ini tegur caprice. Draf perjanjian usahasama melombong pasir sg.
Adalah dengan hormatnya perkara diatas di rujuk. Nama proyek yang diminati. Contoh Surat Tunjuk Minat - Contoh Surat Minat Pdf.
Ada ke panggil iv pakai whatsapp je. Pekerjaan Perencanaan Pembangunan Perpustakaan SMAN 5 PASURUAN. Kami berharap semoga ulasan contoh surat tunjuk minat pembelian tanah dapat memberikan gambaran secara utuh kepada Anda mengenai contoh surat tunjuk minat pembelian tanah serta aneka peluang bisnis dan investasi lainnya saat ini.
Kabupaten Pasuruan Jawa Timur Anggaran 2015. Penerbitan surat minat atau lebih dikenal dengan letter of intent. Sukacita dimaklumkan bahawa saya.
Jadi LoI tidak hanya dipergunakan untuk menyatakan. 2Contoh surat tunjuk sebab tidak hadir kursus. Pengurus TuanPuan SURAT TUNJUK SEBAB KETIDAKHADIRAN KURSUS.
Sebagai contoh kita lihat produk ini. Surat layang tersebut kemudian ditunjukkan kepada ibu dan abangnya.
Surat Tunjuk Minat Projek Bradyndsx
Contoh Surat Tunjuk Minat Desiraegwf
Contoh Surat Minat Loi Beli Projek Kerjasama Properti Format Terkini Portal Cikgu
Certification Letters Jlg Industries
Contoh Surat Permohonan Kerja Melalui Pos Budak Bandung Laici Fikir Positif Belajar Sampul Surat
3 Contoh Surat Minat Beli Tanah Yang Baik Dan Benar Terbaru Lengkap
Contoh Surat Minat Loi Beli Projek Kerjasama Properti Format Terkini Portal Cikgu
Contoh Surat Rasmi Tunjuk Minat Otosection
Contoh Surat Tunjuk Sebab Word Letter 7saudara Com
Surat Tunjuk Minat Projek Matthewctzx
Surat Sebab Kematian Vlr99w6pejlz
